Spettrometria di massa

Può capitare in laboratorio di incontrare composti sconosciuti. Potremmo conoscere gli elementi che li compongono, come il carbonio, l'idrogeno e l'ossigeno, ma non sappiamo qual è la loro formula molecolare, la loro struttura e molto altro. È un chetone o un alcol? È qui che entra in gioco la spettrometria di massa. Il processo ci permette di capire com'è fatta esattamente una molecola, di determinare se il composto sconosciuto ha dei gruppi funzionali e di conoscere la sua massa molecolare. Quindi, diamoci da fare!

Get started

Review generated flashcards

Sign up for free
You have reached the daily AI limit

Start learning or create your own AI flashcards

Contents
Contents
  • Fact Checked Content
  • Last Updated: 11.01.2023
  • 7 min reading time
  • Content creation process designed by
    Lily Hulatt Avatar
  • Content cross-checked by
    Gabriel Freitas Avatar
  • Content quality checked by
    Gabriel Freitas Avatar
Sign up for free to save, edit & create flashcards.
Save Article Save Article

Salta a un capitolo chiave

    • In primo luogo, esploreremo il funzionamento della spettrometria di massa.
    • Esploreremo poi il modo in cui è possibile determinare la massa molecolare utilizzando la spettrometria di massa.
    • In seguito, esploreremo come determinare la struttura dei composti.
    • Infine, esamineremo un esempio per consolidare le nostre conoscenze.

    Come funziona la spettrometria di massa?

    La spettrometria di massa è una delle invenzioni più sorprendenti nel mondo della chimica analitica ed è molto importante per qualsiasi chimico e non solo. Uno spettrometro di massa constiste di tre parti principali:

    • Una sorgente di ioni
    • Un analizzatore di massa
    • Un sistema di rilevamento di ioni

    Il processo inizia l'introduzione del campione del nostro campione liquido contente il composto sconosciuto all'interno dello spettrometro di massa. All'interno dello strumento, le molecole verranno convertite in ioni allo stato gassoso da una sorgente di ioni. Una volta ionizzati, gli ioni vengono separati in base al loro rapporto massa/carica (m/z).

    Mass Spectrum, StudySmarter OriginalsFigura 1. Spettro di massa

    Gli ioni vengono poi rilevati e i risultati dello spettrometro di massa sono presentati su un grafico chiamato spettro di massa. Sull'asse delle ordinate è riportata l'abbondanza relativa, mentre sull'asse delle ascisse è riportato il rapporto massa su carica, noto come m/z. Ogni picco nello spettro di massa indica quindi un componente con uno specifico valore m/z.

    Abbiamo già detto che la molecola può perdere elettroni, dando origine a uno ione positivo, dopo il processo di ionizzazione all'interno dello spettrometro di massa. L'energia in eccesso del processo di ionizzazione può essere trasferita allo ione stesso. Questo può far vibrare la molecola, innescando la rottura di alcuni legami e portando infine il composto a rompersi in diversi frammenti. È importante capire che la frammentazione può avvenire ovunque all'interno di una molecola e che ulteriori frammenti possono avvenire da molecole che sono già frammenti. I frammenti appaiono anche nello spettro di massa.

    Trovare la massa atomica relativa

    Come già detto, quando si analizza un composto attraverso spettrometria di massa, viene prodotto uno spettro di massa. Lo spettro di massa ci dà informazioni sul valore m/z e sull'abbondanza relativa degli ioni molecolari (M·+). A partire da queste informazioni possiamo trovare la massa atomica relativa. Ci basterà fare una media ponderata dei diversi picchi isotopici tenendo in considerazione il loro valore m/z e l'abbondanza relativa. Ad esempio, se abbiamo tre picchi: uno con m/z 10 e abbondanza relativa 20% e l'altro con m/z 11 e abbondanza relativa 100% la massa atomica relativa sarà:

    \[ \frac{(10 \times 20) + (11 \times 100)}{120} = 10{,}83 \,. \]

    Pattern di frammentazione

    Ora che abbiamo analizzato uno degli aspetti più importanti della spettrometria di massa, analizziamo il secondo aspetto più importante: come scoprire la struttura di un composto organico. Ma prima dobbiamo esaminare un termine chiamato pattern di frammentazione.

    All'inizio di questo articolo abbiamo detto che i composti possono rompersi in frammenti. Di conseguenza, anche i frammenti vengono rilevati, causando picchi nello spettro di massa. I frammenti sono importanti perché ci permettono di capire la struttura dell'intero composto. Come possiamo determinare la massa relativa di un composto leggendo il valore m/z, possiamo leggere i diversi picchi per misurare la massa relativa dei diversi frammenti.

    In generale, ci saranno molti picchi, ma ce ne sono alcuni comuni che possiamo riconoscere e che ci aiuteranno a determinare la struttura del nostro composto perchè ci danno informazioni sui gruppi funzionali presenti nella molecola.

    Ad esempio:

    • m/z 13 indica un gruppo metilico (-CH3).
    • m/z 17 indica un gruppo alcolico (-OH).

    Osservate lo spettro di massa qui sotto: qual è la struttura a m/z 57, quella a m/z 43?

    Questo particolare spettro di massa è relativo a un composto organico fatto di carbonio e idrogeno ed è un alcano, quindi nel determinare la struttura di entrambi i picchi avremo bisogno solo della massa relativa del carbonio, che è 12, e dell'idrogeno, che è uno, e poi del processo di eliminazione.

    Per m/z 57, se utilizziamo 4 carboni che equivalgono a: 4 x 12 = 48 e sottraendo questo dal totale di 57 = 9, avendo quindi 9 idrogeni, si evince che il composto a m/z 57 è C4H9 .

    Per m/z 43, supponiamo di utilizzare 2 carboni, ovvero 3 x 12 = 36, e di sottrarre questo da 43 = 7, il che dimostra che abbiamo 7 idrogeni. Quindi, m/z 43 è C3H7 .

    Poiché sono entrambi frammenti, cioè ioni positivi, dobbiamo assicurarci di mostrarli con una carica positiva. Pertanto,

    m/z 57 è C4H9+

    m/z 43 è C3H7+

    Struttura dei composti organici

    Dopo aver identificato la struttura dei diversi frammenti, possiamo mettere insieme le informazioni per determinare la struttura del nostro composto finale. Quindi, prendendo in considerazione l'esempio precedente, il picco più grande si trova a m/z 86. Questo picco indica la massa relativa totale del nostro composto sconosciuto. Possiamo usare i nostri metodi di deduzione per determinare la struttura.

    Ad esempio, possiamo capire che non è possibile avere un composto a 7 atomi di carbonio, in quanto 7 x 12 = 84, il che significherebbe che solo 2 idrogeni sarebbero presenti nel composto, il che non può succedere. Proviamo allora con 6 atomi di carbonio, questa opzione potrebbe essere possibile in quanto 6 x 12 = 72. Se sottraiamo questo valore a 86, otteniamo 14, e 14 idrogeni si adatterebbero ai carboni. Quindi, la struttura del composto sconosciuto è C6H14 e la massa relativa del composto sconosciuto è 86. Questo è il modo in cui possiamo usare la spettrometria di massa.

    Esempi di spettrometria di massa

    Per consolidare le nostre conoscenze, esaminiamo un esempio.

    Lo spettro di massa sottostante è quello di un alcol, individuare la struttura del picco m/z 45, la massa relativa e la struttura dell'intero composto sconosciuto.

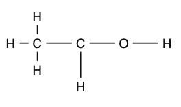
    Per il picco m/z 45 sappiamo che avrà carbonio e idrogeno e un ossigeno perché la molecola è un alcol. Poiché la massa relativa dell'ossigeno è pari a 16, possiamo sottrarre questa massa da 45, il che equivale a 29. Ora, sappiamo che non può avere 3 carboni perché non rientrerebbe nelle dimensioni del picco, quindi proviamo con 2 x 12 = 24, quindi se sottraiamo questo da 29 = 5. Questo significa che ci devono essere 5 idrogeni. Se proviamo a disegnare questa struttura, vediamo che funziona.

    Spettrometria di massa composto organico C2H5O+ StudySmarter Fig. 2 - Fig. Composto organico C2H5O.

    E poiché si tratta di un frammento, scriviamo: C2H5O+

    Ora, la massa relativa del composto sconosciuto, come possiamo vedere è m/z 60. Poiché conosciamo già una parte della struttura, abbiamo l'ultima parte da risolvere, con il carbonio e l'idrogeno che devono avere m/z 60. Possiamo vedere che se aggiungiamo un altro carbonio e tre altri idrogeni, la struttura è completa e questa sarà la nostra risposta.

    La massa relativa dell'intero composto sconosciuto è 60.

    La struttura dell'intero composto è:

    Spettrometria di massa composto organico C4H8O StudySmarter Figura 5. Composto organico C4H8O.

    Spettrometria di massa - Punti Chiave

    • La spettrometria di massa è molto importante per i chimici.
    • Gli spettri di massa possono indicarci la massa relativa e la struttura di un composto sconosciuto.
    • La spettrometria di massa prevede l'introduzione di un composto sconosciuto in soluzione nello spettrometro di massa.
    • La soluzione viene ionizzata e quindi rilevata, producendo uno spettro di massa.
    • Durante la permanenza nello strumento, la molecola può dividersi in frammenti, causando più picchi nello spettro di massa.
    • Lo spettro di massa può essere utilizzato per determinare la struttura dei frammenti e, in ultima analisi, la struttura del composto sconosciuto.
    • Utilizzando l'asse x dello spettro di massa, possiamo anche determinare la massa relativa del composto sconosciuto.

    Domande frequenti riguardo Spettrometria di massa

    A cosa serve la spettrometria di massa? 

    La spettrometria di massa è una tecnica analitica molto utile in diversi campi e serve ad identificare la struttura di composti sconosciuti

    Per cosa si usa lo spettrometro di massa? 

    Lo spettrometro di massa è uno strumento utilizzato in tantissimi laboratori di chimica, scienze forensi, medicina, biologia e altri ancora allo scopo di identificare composti sconosciuti.

    A cosa servono i picchi isotopici? 

    I picchi isotopici indicano la presenza di diversi isotopi di un determinato elemento. A partire dai picchi isotopici possiamo calcolare la massa atomica relativa.

    Come si legge uno spettro di massa? 

    Uno spettro di massa ci fornisce due informazioni prinicipali: il valore m/z e l'abbondanza relativa di ogni picco.

    Save Article
    Metti alla prova le tue conoscenze con schede a scelta multipla

    Possiamo vedere i frammenti in uno spettro di massa?

    In che modo i frammenti ci aiutano a trovare la struttura del composto sconosciuto?

    I frammenti hanno carica positiva o negativa?

    Avanti

    How we ensure our content is accurate and trustworthy?

    At StudySmarter, we have created a learning platform that serves millions of students. Meet the people who work hard to deliver fact based content as well as making sure it is verified.

    Content Creation Process:
    Lily Hulatt Avatar
    Lily Hulatt

    Digital Content Specialist

    Lily Hulatt is a Digital Content Specialist with over three years of experience in content strategy and curriculum design. She gained her PhD in English Literature from Durham University in 2022, taught in Durham University’s English Studies Department, and has contributed to a number of publications. Lily specialises in English Literature, English Language, History, and Philosophy.

    Get to know Lily
    Content Quality Monitored by:
    Gabriel Freitas Avatar
    Gabriel Freitas

    AI Engineer

    Gabriel Freitas is an AI Engineer with a solid experience in software development, machine learning algorithms, and generative AI, including large language models’ (LLMs) applications. Graduated in Electrical Engineering at the University of São Paulo, he is currently pursuing an MSc in Computer Engineering at the University of Campinas, specializing in machine learning topics. Gabriel has a strong background in software engineering and has worked on projects involving computer vision, embedded AI, and LLM applications.

    Get to know Gabriel
    Discover learning materials with the free StudySmarter app
    Iscriviti gratuitamente
    1

    About StudySmarter

    StudySmarter is a globally recognized educational technology company, offering a holistic learning platform designed for students of all ages and educational levels. Our platform provides learning support for a wide range of subjects, including STEM, Social Sciences, and Languages and also helps students to successfully master various tests and exams worldwide, such as GCSE, A Level, SAT, ACT, Abitur, and more. We offer an extensive library of learning materials, including interactive flashcards, comprehensive textbook solutions, and detailed explanations. The cutting-edge technology and tools we provide help students create their own learning materials. StudySmarter’s content is not only expert-verified but also regularly updated to ensure accuracy and relevance.

    Learn more
    StudySmarter Editorial Team

    Team Chimica Teachers

    • 7 minutes reading time
    • Checked by StudySmarter Editorial Team
    Save Explanation Save Explanation
    Study anywhere. Anytime.Across all devices.
    Sign-up for free

    Iscriviti per sottolineare e prendere appunti. É tutto gratis.